Cholesterol#57-88-5

Using advanced production processes and automated control technologies, key process parameters are monitored and recorded in real time to ensure that the production process is stable, controllable and traceable.

Classification:Pharmaceutical Raw Materials
+86 18766115052

WhatsApp

PRODUCT DESCRIPTION
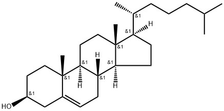
Product Name:Cholesterol
Synonyms:(3.beta.)-Cholest-5-en-3-ol;(3β)-cholest-5-en-3-ol;3β-hydroxycholest-5-ene;5,6-Cholesten-3beta-ol;5:6-cholesten-3-beta-ol;5:6-Cholesten-3beta-ol;5-Cholesten-3B-ol;5-cholesten-3β-ol
CAS:57-88-5
MF:C27H46O
MW:386.66
EINECS:200-353-2
Product Categories:Pharma grade;Used as emulsifier;API;Intermediates & Fine Chemicals;Pharmaceuticals;Steroids;Cholesterol and DerivativesOther Lipid Related Products;FA/FAME/Lipids/Steroids;Lipid Analytical Standards;Lipids;Sterols;SterolsFood&Beverage Standards;CLS;bc0001;57-88-5
Mol File:57-88-5.mol
57-88-5

Cholesterol Chemical Properties
Melting point148-150 °C
alpha-36 º (c=2, dioxane)
Boiling point360 °C
density1.06
refractive index1.5250 (estimate)
Fp250 °C
storage temp.-20°C
solubilityH2O: 0.002 mg/mL
formpowder
pka15.03±0.70(Predicted)
colorwhite
Specific Gravity1.067
Odorwh. or faintly yel. pearly granules or crystals, almost odorless
biological sourcesynthetic
Water Solubilitynegligible
Merck14,2201
BRN1915888
Dielectric constant2.9(Ambient)
InChIKeyHVYWMOMLDIMFJA-DPAQBDIFSA-N
LogP9.619 (est)
CAS DataBase Reference57-88-5(CAS DataBase Reference)
NIST Chemistry ReferenceCholesterol(57-88-5)
IARC3 (Vol. 31, Sup 7) 1987
EPA Substance Registry SystemCholesterol (57-88-5)


PACKING AND DELIVERY

25千克塑编袋拼图

FACTORY SHOWCASE
  • 大化工厂区
  • 1 (3)
  • 1 (2)
  • Raw Materials Control
  • 塑料桶 (1)
  • 塑料桶 (2)
MORE PRODUCTS

Contact us !

Submit